margin과 optimal hyperplane 등에 관한 개념 및 수식은
이 블로그 글을 보고 많이 이해할 수 있었다.
아래에서는 kernel에 관해 학습한 내용 위주로 정리해보았다.
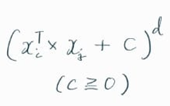
Polynomial kernel

Polynomial kernel 은 다음과 같이 정의된다.

c는 0 이상의 임의의 상수를 설정할 수 있고,
d는 차원 (dimension) 을 의미하는 변수이다.
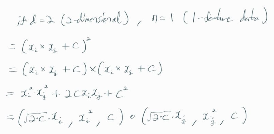
두 input vectors 간 inner product를 고려하면,

이런 형태가 된다.
좀 더 쉽게 이해하기 위해,
d = 2 (2차원), n = 1 (1개의 feature로만 이뤄진 입력 데이터) 로 설정하면

이렇게 두 벡터 간 내적으로 나타낼 수 있다.

즉, 1차원의 어떤 값 x를
축 1 (axis1) 에서는 x에 root(2c) 만큼 곱하고,
축 2 (axis2) 에서는 x에 제곱을 한다고 해석할 수 있다.
그렇게 확장된 2차원 공간에서 SVM을 통해 데이터를 분류할 수 있다.
특정 조건이 아닌, 일반화된 수식은 여기서 확인할 수 있다
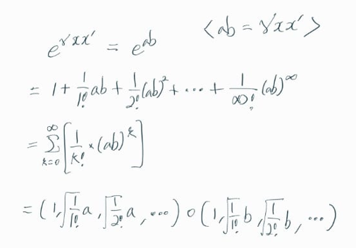
RBF (Radial basis function) kernel
RBF kernel은 위의 Polynomial kernel을 무한대의 차원으로 확장한다.
RBF kernel의 정의는 아래와 같다.

수식을 간단하게 만들기 위해, x가 1차원이라고 가정하면,

위와 같이 두 벡터 간의 내적으로 표현할 수 있다.
중간에 e^(ab)를 테일러 급수 전개 (Taylor Series expansion)를 통해 변환하는 과정이 있다.

아래의 RBF kernel 수식을 살펴보면,

Polymial kernel 수식의 차원이 무한대(infinity)로 확장된 것과 동일한 형태라는 것을 알 수 있다.

특정 조건이 아닌, 일반화된 수식은 여기서 확인할 수 있다
SVM에서는 이런 kernel들을 적용해서,
non-linear 한 형태의 data들의 차원(dimension)을 확장시켜
모델 성능을 높인다고 할 수 있다.
◎ References
< StatQuest, Support Vector Machines >
< Wikipedia, Polynomial kernel >
< Wikipedia, Radial basis function kernel >
< ratsgo's blog, 서포트 벡터 머신 (Support Vector Machine) >
'Data Science' 카테고리의 다른 글
| Pearson's Correlation (0) | 2023.05.19 |
|---|---|
| Covariance (0) | 2023.05.18 |
| CatBoost (0) | 2023.05.13 |
| XGBoost for classification (0) | 2023.05.06 |
| XGBoost for regression (0) | 2023.05.05 |